Beranda
/ Cara Mencari Kesamaan Dua Matriks - Contoh Soal Kesamaan Dua Matriks Matematika Wajib Kelas Xi Youtube : Ada beberapa tutorial tentang matriks yang disajikan oleh imath tutorial.
Cara Mencari Kesamaan Dua Matriks - Contoh Soal Kesamaan Dua Matriks Matematika Wajib Kelas Xi Youtube : Ada beberapa tutorial tentang matriks yang disajikan oleh imath tutorial.
Cara Mencari Kesamaan Dua Matriks - Contoh Soal Kesamaan Dua Matriks Matematika Wajib Kelas Xi Youtube : Ada beberapa tutorial tentang matriks yang disajikan oleh imath tutorial.. Pengurangan matriks, transpose matriks, dan kesamaan matriks sub. Mencari invers matriks berordo 3x3 dapat dilakukan dengan dua cara, yaitu dengan adjoin dan transformasi baris elementer. Dan dalam pembahasan yang lalu kita sempat juga membahas bagaimana cara mencari panjang suatu vektor. Pada umumnya dalam matriks terdapat rangkuman materi kesamaan dua matriks dan materi transpose matriks. Materi matriks kelas 11 operasi penjumlahan matriks.
Persamaan matriks, definisi matriks, materi persamaan matriks, contoh soal, determinan matriks yang memenuhi persamaan biasanya pada persoalan matematika ini menggunakan dengan matriks ialah untuk mencari nilai pada persamaan linear, fungsi linear, maupun transformasi linear. Cara mudah menyelesaikan soal kesamaan dua matriks. Matriks part 3 (kesamaan dua matriks)подробнее. Pada penjumlahan/pengurangan matriks, dua buah matriks atau lebih harus memiliki ukuran yang sama. 15 kompetensi kesamaan dua matriks matriks a = matriks b jika definisi jenis jenis matriks kesamaan 2 matriks ordo matriks a = ordo matriks b elemen yang seletak sama oprasi pada m a t r i k s untuk mencari pemecahan sistem persamaan linier dapat digunakan beberapa cara.
Part 4 Matriks Kesamaan Dua Matriks Matematika Wajib Kelas Xi Youtube from i.ytimg.com Dua matriks a dan b dikatakan sama. Pengertian, jenis, transpose, kesamaan, operasi, perkalian dan fungsi. Klik untuk melihat contoh dua matriks yang sama dan dua matriks yang tidak sama. Itu termasuk matriks kolom, matriks baris, matriks persegi, matriks diagonal, matriks identitas, matriks skalar. Marek uliaszsalah satu jenis matriks adalah matriks identitas yang dapat mendefinisikan sebuah komponen vektor. Tutorial cara menyelesaikan dan menentukan nilai variabel pada kesamaan matriks part 2подробнее. Apabila ordo matriks a berupa 2 x 3, maka dapat dikatakan bahwa matriks a mempunyai 2. Kesamaan dua matriks disertai contoh perkalian mat.
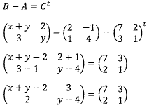
Dimana matriks yang kiri setelah dioperasikan menjadi sama dengan matriks yang kanan.
Untuk menjawab soal seperti ini kita harus gunakan kecerdasan kita untuk memilih, mana yang harus kita cari terlebih dahulu apakah a, b, atau c terlebih dahulu. Jadi transpose dapat diartikan sebagai perpindahan letak. 15 kompetensi kesamaan dua matriks matriks a = matriks b jika definisi jenis jenis matriks kesamaan 2 matriks ordo matriks a = ordo matriks b elemen yang seletak sama oprasi pada m a t r i k s untuk mencari pemecahan sistem persamaan linier dapat digunakan beberapa cara. Pengertian, jenis, transpose, kesamaan, operasi, perkalian dan fungsi. Ada beberapa tutorial tentang matriks yang disajikan oleh imath tutorial. Apabila ordo matriks a berupa 2 x 3, maka dapat dikatakan bahwa matriks a mempunyai 2. Cara mencari invers matriks | transpose suatu matriks. Pos tentang kesamaan dua matriks yang ditulis oleh atikahsuryaniulfah. Trik determinan matriks pentingnya memahami sifat determinan. Kata transpose adalah gabungan dua kata, trans yang berarti perpindahan dan pose yang berarti letak. Pengurangan matriks, transpose matriks, dan kesamaan matriks sub. Jika axb=c , tentukan mat 4. Dan dalam pembahasan yang lalu kita sempat juga membahas bagaimana cara mencari panjang suatu vektor.
3x2 cara mudah kesamaan matriks cara mudah integral tertentu. Pembahasan artikel kali ini adalah mengenai cara mudah mengetahui kesamaan dua matriks, materi ini merupakan materi sekolah menengah keatas kelas x. Jika axb=c , tentukan mat 4. Mencari invers matriks berordo 3x3 dapat dilakukan dengan dua cara, yaitu dengan adjoin dan transformasi baris elementer. Dan dalam pembahasan yang lalu kita sempat juga membahas bagaimana cara mencari panjang suatu vektor.
Cara Mengetahui Kesamaan Dua Matriks Kelas Pintar from www.kelaspintar.id Itu termasuk matriks kolom, matriks baris, matriks persegi, matriks diagonal, matriks identitas, matriks skalar. Kesamaan dua matriks biasanya berhubungan dengan operasi matriks. Tutorial cara menyelesaikan dan menentukan nilai variabel pada kesamaan matriks part 2подробнее. Kesamaan matriks terlebih dahulu kalian akan mempelajari materi mengenal bentuk dan ciri matriks pengertian dan istilah dalam matriks jenis matriks dan transpose matriks b. Pada saat duduk di bangku sekolah kelas x ini lah kalian akan diajarkan mencari kesaamaan dua matriks. Baca lebih lanjut operasi hitung pada matriks. Apabila ordo matriks a berupa 2 x 3, maka dapat dikatakan bahwa matriks a mempunyai 2. Penjumlahan dua matriks jika diketahui p dan q adalah dua matriks dengan ordo sama, maka.
Video tutorial (imath tutorial) ini memberikan materi tentang matriks.
Video tutorial (imath tutorial) ini memberikan materi tentang matriks. Biasanya pada persoalan matematika ini menggunakan dengan matriks ialah. Contoh pertama diketahui jika a=b, tentukan a+b+c+d. Jadi transpose dapat diartikan sebagai perpindahan letak. Mencari invers matriks berordo 3x3 dapat dilakukan dengan dua cara, yaitu dengan adjoin dan transformasi baris elementer. Kesamaan dua matriks disertai contoh perkalian mat. Dalam materi persamaan dua matriks tentunya sering mendengar adanya ordo matriks. Pos tentang kesamaan dua matriks yang ditulis oleh atikahsuryaniulfah. Kesamaan dua matriks dua matriks yaitu matriks a dan b dikatakan sama yaitu a= b, jika dan hanya jika : Pengertian, jenis, transpose, kesamaan, operasi, perkalian dan fungsi. Ada beberapa tutorial tentang matriks yang disajikan oleh imath tutorial. Matriks part 3 (kesamaan dua matriks)подробнее. Matriks berikut adalah matriks simetris karena memenuhi m=mt.
Jika axb=c , tentukan mat 4. Itu termasuk matriks kolom, matriks baris, matriks persegi, matriks diagonal, matriks identitas, matriks skalar. Kesamaan dua matriks dua matriks yaitu matriks a dan b dikatakan sama yaitu a= b, jika dan hanya jika : Marek uliaszsalah satu jenis matriks adalah matriks identitas yang dapat mendefinisikan sebuah komponen vektor. Contoh pertama diketahui jika a=b, tentukan a+b+c+d.
Rumus Penjumlahan Matriks Dan Pengurangan Matriks from rumusrumus.com 3x2 cara mudah kesamaan matriks cara mudah integral tertentu. Contoh pertama diketahui jika a=b, tentukan a+b+c+d. Persamaan matriks, definisi matriks, materi persamaan matriks, contoh soal, determinan matriks yang memenuhi persamaan biasanya pada persoalan matematika ini menggunakan dengan matriks ialah untuk mencari nilai pada persamaan linear, fungsi linear, maupun transformasi linear. Trik determinan matriks pentingnya memahami sifat determinan. Penjumlahan dua matriks jika diketahui p dan q adalah dua matriks dengan ordo sama, maka. Klik untuk melihat contoh dua matriks yang sama dan dua matriks yang tidak sama. Cara mencari transpose matriks mencari transpose matriks ordo 2x2 mencari transpose matriks otdo pembahasan soal kesamaan matriks mencari nilai variabel a = 2b transpose kelas xi materi : Jika axb=c , tentukan mat 4.
Biasanya pada persoalan matematika ini menggunakan dengan matriks ialah.
Dimana matriks yang kiri setelah dioperasikan menjadi sama dengan matriks yang kanan. Kesamaan dua matriks biasanya berhubungan dengan operasi matriks. Tutorial cara menyelesaikan dan menentukan nilai variabel pada kesamaan matriks part 2подробнее. Pengurangan matriks, transpose matriks, dan kesamaan matriks sub. Transpose suatu matriks a ditulis dengan notasi at (dibaca a transpos dan tidak dibaca a pangka t) atau at. Matriks berikut adalah matriks simetris karena memenuhi m=mt. Trik determinan matriks pentingnya memahami sifat determinan. Kesamaan dua matriks disertai contoh perkalian mat. Ada beberapa tutorial tentang matriks yang disajikan oleh imath tutorial. Diketahui matriks a dan matriks b, tentukanlah hasil perkalian matriks ab. Dan dalam pembahasan yang lalu kita sempat juga membahas bagaimana cara mencari panjang suatu vektor. Cara mudah menyelesaikan soal kesamaan dua matriks. Kesamaan dua matriks dua matriks yaitu matriks a dan b dikatakan sama yaitu a= b, jika dan hanya jika :
Berbagi
Posting Komentar
untuk "Cara Mencari Kesamaan Dua Matriks - Contoh Soal Kesamaan Dua Matriks Matematika Wajib Kelas Xi Youtube : Ada beberapa tutorial tentang matriks yang disajikan oleh imath tutorial."
Posting Komentar untuk "Cara Mencari Kesamaan Dua Matriks - Contoh Soal Kesamaan Dua Matriks Matematika Wajib Kelas Xi Youtube : Ada beberapa tutorial tentang matriks yang disajikan oleh imath tutorial."